Ejemplos de integración de funciones racionales
![]()
¡¡¡¡ Intenta resolver las integrales antes de ver las soluciones y recuerda la importancia del tipo y la multiplicidad de las raíces del polinomio Q!!!!
|
Las raíces de Q son: |
||
|
grado P ≥ grado Q |
1. Reales simples | Miscelánea |
| 2. Reales múltiples | ||
| 3. Complejas simples |
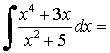
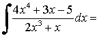
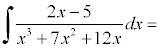
En los siguientes ejemplos, el grado del numerador es mayor que el grado del denominador, por tanto, debemos dividir.
|
|
|
|
|
|
![]() |
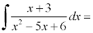
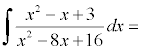
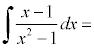
El polinomio Q sólo tiene raíces reales simples:
|
|
|
|
|
|
|
|
El polinomio Q sólo tiene raíces reales múltiples:
|
|
|
|
|
|
|
|
|
El polinomio Q sólo tiene raíces complejas simples:
|
|
|
|
|
|
|
|
|
|
|
|
|
|
|
|
|
|